
英文标题:Effects of different concentrations of biological maturity agents on nitrogen and microbial diversity of Auricularia heimuer residue compost
发表期刊:Bioresource Technology
影响因子:9
客户单位:吉林农业大学
百趣提供服务:宏基因组测序
研究背景
本研究通过在黑木耳菌渣堆肥过程中添加不同浓度的生物腐熟剂,探究其对黑木耳菌渣堆肥过程的影响。通过测定堆肥过程中理化指标及微生物多样性的变化,结果表明,添加生物腐熟剂对堆肥温度、湿度、pH、种子发芽指数、活力指数有一定的促进作用,为实际应用奠定基础。

研究结果
1、不同浓度生物腐熟剂对堆肥温度、湿度、pH值及电导率的影响
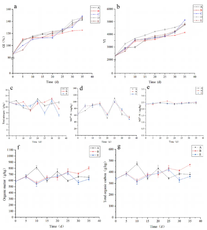
研究设置了5个组别,A:对照组,无生物腐熟剂;B:0.1%生物腐熟剂;C:0.2%生物腐熟剂;D:0.3%生物腐熟剂;E:0.4%生物腐熟剂。
温度是启动和进行堆肥过程的关键指标,添加微生物肥料发酵剂的堆肥温度在每个时间段都高于A组。从图1可以看出,添加生物腐熟剂的处理组堆温均高于对照组,且受环境温度波动影响明显,表明添加少量或大量生物腐熟剂均有助于堆肥升温,利于底物生物转化和杀灭病原微生物。
各处理组湿度差异较小,初期因温度升高导致水分蒸发而下降,后期受天气影响波动,最终随温度回升再次降低,符合堆肥过程中水分蒸发大于生成的特点。
pH整体呈上升趋势,E组最终pH最高,A组波动较大,后期与其他组差异显著。pH升高与微生物活动产生的碱性阳离子积累及含氮复合物矿化有关,影响微生物活性和氮素形态。与其相反,电导率(EC)全程下降,B组降幅最大,E组降幅最小,表明堆肥对植物无毒。EC下降与氨挥发、矿物盐沉淀及小分子转化为腐殖质大分子有关。

图1 不同浓度生物腐熟剂对堆肥过程中温度、水分、pH值和电导率的影响
2、不同浓度生物腐熟剂的堆肥材料对种子发芽指数和活力指数的影响
种子发芽指数(GI)和活力指数(VI)是评估堆肥成熟度和植物毒性的重要指标(图2a-b)。第5天时,B组GI最高,E组最低,可能是在初期高浓度腐熟剂对种子有抑制作用;第10天后,E组GI显著上升并与B组无明显差异;第35天,B组GI显著低于其他组,而E组因腐熟剂充分分解菌渣,对种子发芽的促进作用更显著。这表明添加生物腐熟剂可加速NH3、有机酸等有毒物质的去除。堆肥前期VI明显上升,各组差异显著;末期除C组VI显著高于其他组外,B组VI最低且与其他组差异显著,说明添加适量腐熟剂能更有效提升种子活力。

图2 不同浓度生物腐熟剂对堆肥过程中发芽指数(GI)、挥发性指数(VI)、总氮(TN)、铵态氮(NH4+-N)、硝态氮(NO3--N)、有机质(OM)和总有机碳(TOC)的影响
3、不同浓度生物腐熟剂对堆肥理化指标的影响
氮素转化方面,总氮(TN)含量波动较大,堆肥结束时A组最高,E组最低,表明一定的堆肥时间利于氮素转化,高浓度腐熟剂可能加速氮素损耗;铵态氮(NH4+-N)在25天内达峰值,与温度升高促进含氮物质氨化有关,末期各组差异不显著;硝态氮(NO3--N)变化较小,末期高于初始值(图2c-e)。
有机质(OM)和总有机碳(TOC)整体呈上升趋势,35天时B组OM最高,E组最低,说明高浓度腐熟剂对有机质分解作用更强;与其他研究中总有机碳下降不同,本研究可能受通气条件影响(图2f-g)。
B、E组总腐殖质碳低于初始值,A组与初始值无显著差异;腐殖酸碳含量B组最高,显著高于A组;胡敏素碳和E4/E6比值在A、B、E组均显著高于初始值,表明腐熟剂促进腐殖质形成,利于土壤肥力提升(表1)。
E组有效磷和有效钾含量最高,A组最低且与初始差异显著,说明腐熟剂可维持养分;B、E组木质素、纤维素和半纤维素含量显著低于A组,说明高浓度腐熟剂更利于木质纤维素降解(表2-3)。
添加腐熟剂的处理组中有益微量元素含量与初始无显著差异,A组则低于初始;镉、汞等重金属含量下降,说明腐熟过程中有机物官能团络合及pH升高促进了重金属的固定(表4)。

表1 堆肥前后腐殖质含量的变化

表2 堆肥前后有效磷和钾含量的变化

表3 堆肥前后木质纤维素含量的变化

表4 堆肥前后微量元素含量的变化
4、不同浓度生物腐熟剂对堆肥微生物多样性的影响
研究通过宏基因组分析生物腐熟剂对微生物丰度的影响。从门水平看,堆肥前,优势菌门为变形菌门、拟杆菌门、放线菌门等;堆肥至25天,A、B、E组的变形菌门、拟杆菌门丰度降低,表明添加适量生物腐熟剂可降低这两类菌门的丰度(图3a)。从属水平看,堆肥前,优势属为假黄单胞菌、博德特氏菌等;堆肥后期,优势属变为藤黄单胞菌、砂单胞菌等。其中,藤黄单胞菌作为典型植物病原菌,堆肥后丰度显著降低,且随堆肥时间延长降幅更明显,表明堆肥可减少有害微生物,增加有益菌丰度(图3b)。
堆肥第0天,黄单胞菌科和假黄单胞菌的有效基因数最高,随堆肥进行,科和属的有效基因数显著下降(图3c)。与氮循环相关的根瘤菌科基因数随堆肥时间减少,与氮含量下降的理化结果一致;慢生根瘤菌科多数基因数上升,可能对氮积累有抑制作用。堆肥第0天与堆肥过程中属水平微生物群落差异显著(图3d),表明不同浓度腐熟剂对不同时期细菌群落丰度影响程度不一。
门水平PCA结果表明各样本组内平行性良好,组间差异明显(图3e),NMDS分析结果则进一步验证了堆肥对微生物群落结构的显著影响(图3f)。不同处理间特有基因的数量差异显著(图3g),表明堆肥时间显著影响特有基因的数量,这可能与腐熟剂加速物质降解导致部分物种基因丢失有关。

图3 物种在门和属水平的分析图
从图4结果可看出,堆堆肥天数和腐熟剂浓度对样本功能差异影响明显。KEGG分析显示了丰度最高的前45条同源基因代谢通路,各代谢通路的丰度在堆肥后期下降;eggNOG注释结果表明,E组的防御机制基因(V)丰度较高,可能激活堆肥中有害物质降解机制,而与氨基酸运输代谢、能量生产等相关的基因丰度随堆肥下降;CAZy分析结果表明,糖苷水解酶(GH)、糖基转移酶(GT)等6类酶基因经过堆肥过程富集,A组和E组的酶基因数量高于B组,CK组的CAZy总丰度显著高于处理组,其中GH、GT、CBM类酶基因数较多,对促进堆肥腐熟起重要作用。

图4 基于Bray Curtis距离的功能丰度聚类树及注释
作者基于差异分析筛选出12种差异显著的酶(图5a),并挑出35种高丰度酶(图5b),初始堆肥的糖基转移酶丰度较高,合酶丰度较低;第25天的A组各类酶丰度较低,且随堆肥时长进一步下降;第25天的B组和E组合酶丰度较高,且随堆肥呈上升趋势,说明添加生物腐熟剂可增加酶丰度,且该趋势随堆肥时间延长更明显。PCA图结果也表明腐熟剂浓度和堆肥天数对酶丰度有显著影响(图5c)。

图5 不同处理间差异分析
从图6a可知,初始堆肥(D0.CK组)的抗性基因种类最多且丰度最高,表明未处理的黑木耳菌渣中抗性基因污染较严重。随堆肥进行,13种抗性基因的丰度均下降,其中添加生物腐熟剂的处理组下降更显著,说明堆肥(尤其是添加腐熟剂)对降低抗性基因有重要作用。
adeF基因丰度最高(图6b),其作为外排系统编码基因,可能通过参与抗生素抗性基因外排,导致其他抗性基因丰度显著降低;主要抗性机制包括抗生素外排、灭活及靶标改变,变形菌门、拟杆菌门等是抗性基因的主要宿主菌(图6c-d)。

图6 不同处理间样本中不同抗生素耐药性基因(ARO)的丰度分析图
研究结论
本研究表明生物腐熟剂的应用通过调控微生物群落和抗性基因变化,为黑木耳菌渣的安全资源化利用提供了科学依据,证实了应用科学在自然界不同领域的重要性。
宏基因组测序:利用新一代高通量测序技术,以特定环境中微生物群体的全部基因组为研究对象,在解析微生物多样性、种群结构及进化关系的基础上,进一步探究微生物群体的功能活性、种间协作机制及与环境的互作关系,从而发掘其潜在的生物学价值。与传统微生物研究方法相比,宏基因组测序技术规避了传统方法中绝大部分微生物难以纯培养、痕量菌群无法有效检测的技术局限。