
文章标题:Flavoromics profiling combined with DFT calculations uncovers flavor alteration in Auricularia heimuer under different cultivation modes
发表期刊:Food Chemistry
影响因子:9.8
客户单位:吉林农业大学
百趣提供服务:新一代代谢组学NGM 2 Pro、氨基酸高通量靶标定量、风味组学(VOCs 顶空)
研究背景
黑木耳(Auricularia heimuer)是中国传统食材,营养丰富且风味独特,传统段木栽培模式因产量有限逐渐被规模化袋栽的工厂化模式取代,但工厂化栽培黑木耳常出现风味下降问题,难以满足消费者对感官品质的需求。基于代谢组学在风味化合物识别中的应用优势,本研究整合感官分析与密度泛函理论(Density-functional theory, DFT)计算,探究传统原木栽培(TF)与现代化工厂化栽培(MF)对炒制后黑木耳风味的影响及分子机制,为工业栽培黑木耳的风味提升提供理论依据与技术支撑。
研究结果
01-炒制前黑木耳非挥发性代谢物的衍生化GC-MS分析
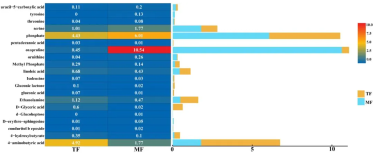
通过衍生化GC-MS对炒制前复水未炒的TF和MF组黑木耳进行非挥发性极性代谢物分析,共鉴定出152种代谢物,涵盖有机酸及其衍生物、有机氧化合物、脂质及脂质类似物。PCA分析显示,TF和MF组实现明显分离,结合OPLS-DA和置换检验筛选出差异代谢物。如图1所示,通过OPLS-DA结合单变量统计分析,筛选出上调和下调最显著的各10种代谢物,其中MF组中氧代脯氨酸浓度显著高于TF组,提示其代谢途径变化可能增强鲜味特性,而TF组中4-氨基丁酸浓度更高,作为谷氨酸途径中的含氮化合物,虽鲜味强度低于谷氨酸,但可调节子实体的口感与风味轮廓。

图1. 复水黑木耳在炒制前的差异性非挥发性代谢物(TF对比MF)
02-黑木耳非靶标LC-MS代谢组学分析
采用LC-MS对TF和MF组黑木耳进行非靶标代谢组学分析,筛选出721种次级代谢物用于后续分析,PCA 结果显示两组样品沿PC1实现显著分离,与GC-MS分析结果一致,表明栽培模式显著影响黑木耳的代谢组组成。如图2火山图所示,MF组相对于TF组存在多种显著上调和下调的代谢物,上调代谢物包括N-乙酰苯丙氨酸、己酸、二乙酰等,下调代谢物包括特里辛、γ-查茄碱、鸟氨酸等,这些代谢物的差异共同导致两种栽培模式下黑木耳风味特性的不同。

图2. 通过LC-MS分析检测MF组与TF组之间差异代谢物的火山图
03-丁酸盐上调MDSCs中的脂肪酸氧化
基于人类代谢组数据库(HMDB)二级 “类别” 对721种非挥发性代谢物进行分类,包括氨基酸、碳水化合物、脂肪酸等7类(图3),其中脂肪酸类占比最高,其次为莽草酸和苯丙烷类、萜类等,剩余4.7%的特征未被分配到相应类别。将氨基酸、碳水化合物和脂肪酸定义为初级代谢物,其余为次级代谢物,通过Fisher精确检验进行类别水平富集分析发现,上调特征在脂肪酸类中显著富集,其他类别无显著富集,表明脂肪酸是导致两种栽培模式下黑木耳风味差异的主要代谢物类别,因此后续研究重点聚焦于脂肪酸相关化学机制。

图3. 通过LC-MS分析鉴定出的721种非挥发性代谢物的HMDB类别分布及各类别的变化趋势
04-脂肪酸途径与碳源对香气前体的影响
脂肪酸代谢是香气形成的关键途径,脂肪酸作为C8挥发性化合物合成的重要前体,其代谢差异可能直接导致风味差异。如图4所示,通过热图展示了TF和MF组脂肪酸代谢物的丰度差异,可见TF组中亚油酸和花生四烯酸显著上调,而MF组中这两种脂肪酸显著下调,MF组中α-亚麻酸和γ-亚麻酸也呈下调趋势。结合基质中木质素单体含量分析,TF组以木质素为主要碳源,可能促使子实体在生长过程中更多依赖脂肪酸合成维持生理功能,从而增加香气化合物前体的产生;而MF组利用葡萄糖等快速同化碳源,可能改变代谢流向,抑制部分香气相关脂肪酸的合成,最终导致两组脂肪酸组成及丰度的显著差异,其中花生四烯酸作为与香气形成密切相关的脂肪酸,其在TF组的高丰度可能是该组风味更优的重要原因之一。

图4.TF组与MF组脂肪酸丰度比较
05-炒制后黑木耳的风味组学挥发性成分分析
对炒制后的黑木耳样品进行LC-MS非靶标分析发现,两组样品在HMDB二级类别水平上无显著差异(图5a),但SPME-GC-MS挥发性成分分析共鉴定出274种挥发性化合物,涵盖有机氧化合物、苯衍生物、脂质及脂质类似物等11类。OPLS-DA分析显示两组样品的挥发性化合物谱可实现清晰分离,交叉验证证实模型可靠,基于VIP>1.0筛选出150种影响风味特征的关键差异挥发性化合物。层次聚类热图所示,TF和MF组挥发性代谢物谱呈现明显的聚类分组(图5b),TF组中苯甲醛、己醛、1-辛烯-3-醇等具有高气味活性值的化合物高表达,形成独特的香气轮廓,而MF组整体OAV较低,香气特征不突出,表明栽培模式通过影响香气前体的浓度和组成,最终塑造炒制后黑木耳的风味特征。

图5. 炒制后非挥发性代谢物的类别水平分布以及挥发性成分的层次聚类分析
06-炒制后黑木耳的味觉活性氨基酸分析
通过UHPLC-MS/MS(MRM模式)对炒制后黑木耳的游离氨基酸进行定量分析,结果显示MF组相对于TF 组,鲜味类氨基酸(谷氨酸、天冬氨酸和4 - 氨基丁酸)和甜味类氨基酸(丙氨酸、丝氨酸、苏氨酸等)含量显著升高;苦味类氨基酸变化呈双向性,缬氨酸、精氨酸等含量升高,苯丙氨酸含量降低,酪氨酸无显著差异;咸味类氨基酸蛋氨酸含量降低;其他氨基酸(天冬酰胺、谷氨酰胺等)含量均升高。这些差异表明,MF组炒制后黑木耳的鲜味和甜味强度更强,而TF组的香气优势主要源于挥发性化合物差异,提示炒制后黑木耳的味觉驱动因子(游离氨基酸)与香气驱动因子存在部分解耦现象。
07-炒制后黑木耳的感官、ET及EN特征分析
对炒制后的黑木耳进行消费者感官评价、ET和EN分析,PCA结果显示,TF组沿PC1正向聚类,MF组沿 PC1负向聚类,两组95%置信椭圆重叠极少,载荷分析表明PC1与气味、风味、整体可接受性呈正相关,与颜色呈负相关,感官评分显示TF组在气味、风味和整体可接受性上显著高于MF组,而MF组颜色评分更高(图6a)。ET雷达图显示,TF组炒制后酸味显著低于MF组,两组味觉轮廓差异明显(图6b)。EN雷达图显示,TF组中对氮氧化物敏感的传感器W5S和对硫及萜类化合物敏感的传感器W1W响应值显著高于MF组,传感器W1W对PC1影响最大(图6c)。PCA和LDA分析均证实两组炒制后黑木耳风味差异显著,与感官评价结果一致。

图6. 炒制黑木耳(TF组与MF组)的综合消费者面板分析、EN分析和ET分析
08-DFT:油状低水条件下的定性可行性研究
采用DFT计算对油状低水分条件下美拉德反应早期步骤的可行性进行定性验证,选取甘氨酸 + 核糖和甘氨酸 + 甘油醛作为反应模型,在丁酸连续介质中模拟热油环境进行计算。如图7所示,图7a、c为定性自由能曲线,图7b、d为最终产物几何结构及关键化学键距离;结果显示油状介质中最高能量壁垒为席夫碱形成,其次为阿马多里重排,下游脱水和裂解生成小分子醛类在热力学上可实现但选择性较高,这与实验观察结果一致:TF组脂质衍生挥发性化合物占主导,而MF组高含量游离氨基酸主要影响味觉而非增强美拉德型挥发性化合物,表明低水分条件下脂质前体和热历史是风味形成的主要驱动因素,DFT计算结果为实验结论提供了理论支持,且未改变实验结论的可靠性。

图7. 油状条件下最小美拉德模型的DFT总结
研究结论
本研究通过整合代谢组学、感官分析与DFT计算,明确传统段木栽培(TF)与工厂化袋栽(MF)模式通过调控黑木耳脂肪酸代谢通路及游离氨基酸组成塑造差异化风味,其中TF组凭借亚油酸、花生四烯酸等香气前体的富集,经炒制后生成高气味活性值挥发性化合物,表现出更优的香气与整体可接受性,而MF组则富含鲜味/甜味游离氨基酸,二者味觉与香气驱动因子呈部分解耦特征,为工业栽培黑木耳通过碳源配方优化与脂质途径调控实现风味提升提供了理论依据与技术靶点。
百趣生物新一代代谢组学NGM 3 Pro:凭借全球领先的2w+代谢物标准品自建库,显著改善代谢组学鉴定准确性不足、数量有限的痛点。其基于LC-MS技术,可检测生物受刺激后小分子代谢物动态变化,助力筛选差异代谢物并关联生理病理。针对代谢物多样性及提取局限,该技术通过多色谱柱联用覆盖非极性/极性代谢物与脂质,结合标准品自建库进一步提升鉴定效率,为标志物筛选、机制研究提供有力支撑。
氨基酸高通量靶标定量:采用同位素内标技术,可实现氨基酸的绝对定量。通过严格质控,确保数据可靠,可应用于疾病研究、临床诊断、植物科学及食品健康等多个领域,助力科研探索与发现。
风味组学(VOCs 顶空):是解析样本风味物质基础的组学技术,是系统风味研究的重要组成部分。它源于代谢组学又异于代谢组学。代谢组学主要是运用靶标和非靶标方法鉴定所有小分子代谢物,而风味组学更偏向于鉴定风味相关代谢组分,主要是挥发性代谢成分。因此,风味组学是在代谢组学的基础上,对所有风味相关代谢物质进行针对性和综合性分析。