
英文标题:Associations of prenatal exposure to individual and mixed organophosphate esters with ADHD symptom trajectories in preschool children: The modifying effects of maternal Vitamin D
中文标题:产前单一及混合有机磷酸酯暴露与学龄前儿童注意力缺陷多动障碍(ADHD)症状轨迹的关联:母亲维生素D的调节作用
发表期刊:Journal of Hazardous Materials
影响因子:11.3
文章简介
安徽医科大学陶芳标教授团队在Journal of Hazardous Materials发表题为“Associations of prenatal exposure to individual and mixed organophosphate esters with ADHD symptom trajectories in preschool children: The modifying effects of maternal Vitamin D”的研究。该研究基于马鞍山出生队列(MABC)的2410对母婴,检测孕妇孕早、中、晚三期尿液中有机磷酸酯(Organophosphate esters, OPEs)水平,评估儿童 3、5、6岁时注意力缺陷多动障碍(Attention Deficit Hyperactivity Disorder, ADHD)症状。研究结合轨迹模型(GBTM)与多分类逻辑回归、贝叶斯核机器回归等多种模型,发现产前OPEs暴露与学龄前儿童ADHD症状轨迹存在异质性关联,且母亲维生素D缺乏会加剧单一OPEs对症状轨迹的不良影响。
有机磷酸酯(OPEs)是一类具有内分泌干扰特性的环境化学物。流行病学研究表明,产前OPEs暴露与后代神经发育障碍相关。ADHD症状具有年龄依赖性变化特征,而目前关于产前OPEs暴露对学龄前儿童ADHD症状动态变化(轨迹)影响的研究较为缺乏。鉴于维生素D已被证实具有 “神经保护” 作用,该研究旨在探讨母亲维生素D对上述关联的调节效应。

图文摘要
研究结果
01 -研究对象特征
本研究纳入的2410对母婴人口统计学特征如表1所示。母亲平均年龄为26.7±3.62岁,65.7%的母亲孕前体重指数(BMI)处于18.5-23.9 kg/m²的正常范围。母亲教育水平达高中及以上者占80.7%,其中高中/中专22.0%、大专31.2%、本科及以上27.5%;初产比例为88.5%,77.7%的孕妇居住在城镇。儿童性别分布为男孩1235名(51.2%)、女孩1175名(48.8%)。
表1.研究参与者特征(n=2410)

02 -孕产妇尿液OPEs水平
表2呈现了6种有机磷酸酯(OPEs)代谢物原始浓度及肌酐校正后浓度的分布特征。孕早期OPEs代谢物原始浓度的检出率由高至低依次为:磷酸二苯酯(DPHP,97.3%)、磷酸二丁酯(DBP,93.3%)、双(1-氯-2-丙基)磷酸酯(BCIPP,93.3%)、双(2-丁氧基乙基)磷酸酯(BBOEP,76.3%)、双(2-乙基己基)磷酸酯(BEHP,65.4%)及三(2-氯乙基)磷酸酯(TCEP,51.6%)。浓度水平方面,孕早期DPHP的原始几何均数(GM)最高,达0.25 ng/mL,其次为BCIPP(GM=0.20 ng/mL)。相关性分析显示,三期妊娠中6种OPEs代谢物间均呈弱相关(相关系数范围0.07-0.38,p<0.001);且三期尿液OPEs浓度的重复性较差(组内相关系数ICCs≤0.34)。
表2.母亲孕期三期尿液OPEs浓度分布

03 -ADHD症状轨迹
本研究采用中文版本康纳斯简明症状问卷(C-ASQ)评估 3、5、6岁学龄前儿童的ADHD症状。该问卷包含10个条目,按症状严重程度计0~3分(无、轻微、较明显、明显),将各条目分数相加得到总分,总分≥15分判定为存在ADHD症状。通过组基轨迹模型(GBTM)拟合得到3类ADHD症状轨迹,分别为低症状评分组(n=1092,45.2%)、中等症状评分组(n=1229,50.6%)和高症状评分组(n=89,4.2%)。结果显示,低症状评分组和中等症状评分组在3~6岁期间呈轻微下降趋势,高症状评分组在3~5岁期间略有下降,5岁后症状评分进一步升高(图1)。

图1.学龄前儿童注意力缺陷多动障碍(ADHD)症状轨迹分组
04 -OPEs暴露与ADHD症状轨迹的关联
基于大型出生队列MABC,该研究探讨了孕妇在第一、第二和第三孕期暴露于OPEs与学龄前儿童ADHD症状轨迹之间的关系,以及母亲维生素D状态和儿童性别的影响。在单一OPEs模型中,逻辑回归分析显示(表3):与低症状评分组相比,孕早期磷酸二丁酯(DBP)浓度与高症状评分组呈正相关;孕中期双(2-丁氧基乙基)磷酸酯(BBOEP)与高症状评分组呈正相关;孕晚期BBOEP与中等症状评分组呈负相关;孕晚期磷酸二苯酯(DPHP)与高症状评分组呈正相关。全孕期平均DPHP暴露浓度与高症状评分组呈正相关,其他OPEs代谢物与症状轨迹无显著关联。
表3.母亲OPEs浓度每增加1个单位与ADHD症状轨迹的关联比值比

母亲维生素D层面分析(图2):在母亲25(OH)D缺乏的母婴对中,孕期OPEs暴露与儿童ADHD症状轨迹呈正相关(如孕早期DBP、TCEP,孕晚期DPHP、BBOEP暴露均与高症状评分组风险增加相关);在25(OH)D非缺乏亚组中,未发现OPEs暴露与ADHD症状轨迹存在显著关联。综上,孕产妇维生素D水平对孕期OPEs暴露与儿童ADHD症状轨迹的关联具有调节作用,维生素D缺乏会强化OPEs暴露与儿童高症状评分组的正相关。

图2.孕期维生素D分层下,产前OPEs浓度每增加1个单位与ADHD症状轨迹的关联
性别层面分析(表S7):妊娠期间DPHP和BEHP的平均浓度与中等评分组女孩呈正相关。此外,暴露于DPHP还增加了中等分组和高分组女孩多动症症状发展的几率。然而,在男孩中并未观察到显著效果。综上,OPEs与ADHD症状轨迹的关联在女童中更显著。
表S7.整个孕期母亲OPEs浓度每增加1个单位,与儿童ADHD症状轨迹关联的比值比(按儿童性别分组)

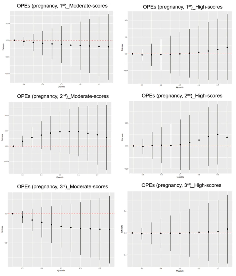
在混合因素OPEs模型中(图3),通过贝叶斯核机回归(BKMR)分析,以ADHD低分组为参照,三个孕期OPEs混合物与中、高分组症状轨迹的关联无显著联合效应,仅存在极微影响。单独OPEs分析(经肌酐校正及混杂因素调整)显示:孕早期DPHP与6岁儿童ADHD症状评分升高相关,孕中期DPHP与3岁评分升高相关、BEHP与3岁和6岁评分均升高相关,孕晚期部分OPEs与5岁评分负相关。经多重检验校正后,仅孕中期DPHP、BEHP与3岁评分的关联仍显著,全孕期平均代谢物浓度与各年龄评分的关联无统计学显著性。

图3.OPEs在三个孕期与学龄前儿童ADHD症状轨迹的关联
05 -OPEs与学龄前儿童ADHD症状评分的关联
OPE对ADHD影响的潜在生物学机制尚不清楚,但以往的研究可能提供一些线索。广义线性回归模型(GLMs)分析显示(图S9),经肌酐校正的OPEs暴露与ADHD症状评分的显著关联主要见于3岁和5岁。具体而言,孕中期DPHP暴露与3岁时ADHD症状呈正相关;孕中、晚期BBOEP、BEHP和TCEP暴露与5岁时ADHD症状呈负相关;孕早期DPHP浓度每增加1个自然对数单位,6岁时ADHD评分增加0.21(95%CI:0.01~0.40);孕中期BEHP浓度每增加1个自然对数单位,3岁和6岁时ADHD评分分别增加0.16(95%CI:0.03~0.29)和0.17(95%CI:0.04~0.30)。经Benjamini-Hochberg法校正后,仅孕中期DPHP和BEHP暴露与3岁时ADHD症状仍呈显著相关,其他OPE代谢物与各年龄ADHD症状均无显著关联。

图S9.不同孕期OPEs浓度(μg/g)每增加一个单位,与儿童不同年龄时ADHD症状的关联
该研究开展了两项敏感性分析以验证结果稳健性:一是排除早产儿(孕周<37 周,n=100)后,重新分析发现三个孕期OPEs代谢物浓度与儿童ADHD症状轨迹的关联无显著变化;二是在原有校正混杂因素的基础上,进一步调整母亲孕前及孕期吸烟和饮酒史后,OPEs暴露与ADHD症状轨迹的关联仍未改变。两项分析均表明结果具有良好的稳健性。
研究总结
儿童注意力缺陷多动障碍(ADHD)是影响个人、家庭及社会经济的常见神经发育障碍,其可改变风险因素尚未明确。该研究发现,孕期有机磷酸酯(OPEs)暴露与儿童ADHD高症状轨迹评分相关,但未观察到OPEs混合物的联合效应,以单独OPEs的特异性关联为主;全孕期DPHP、BEHP暴露与ADHD症状的关联存在性别特异性,女孩更易感;母亲25(OH)D缺乏会强化OPEs暴露对儿童ADHD症状轨迹的不良影响。OPEs广泛应用于家具、电子产品、塑料制品等,对孕妇及胎儿(敏感人群)具有神经发育毒性。
近日,百趣生物联合南京医科大学夏彦恺教授团队,凭借 “环境化学物毒性风险评估技术创新及其应用” 项目荣获 “教育部科学研究优秀成果奖(工程技术研究成果奖)一等奖”。百趣生物推出的暴露组学高通量靶标定量产品,是基于液相色谱 — 串联质谱(LC-MS/MS)技术打造的环境暴露精准分析解决方案。该产品凭借高覆盖、高精准、高灵敏度的核心优势,可实现对超痕量新污染物的高特异性捕获,为环境污染物与健康关联的机制研究提供有力支撑。
